Perjanjian Sewa Alat Berat
Untuk dan atas nama perusahaan pt. 002 admin sewa pt maju.
Contoh Surat Perjanjian Sewa Alat Berat Word Contoh Cute766
Contoh perjanjian sewa menyewa baik itu perjanjian sewa rumah sewa mobil sewa alat berat maupun perjanjian sewa menyewa barang lain.
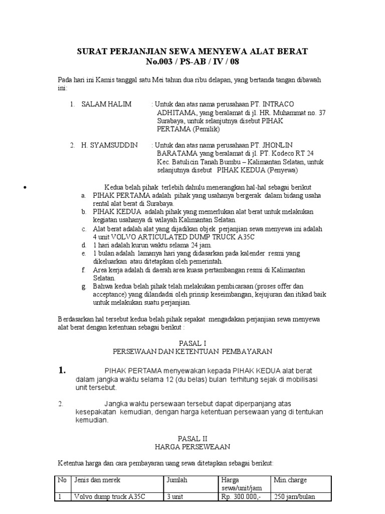
Perjanjian sewa alat berat. Alat berat adalah alat yang dijadikan objek perjanjian sewa menyewa ini adalah 4 unit VOLVO ARTICULATED DUMP TRUCK A35C d. Contoh Surat Perjanjian Sewa Menyewa Alat Berat Excavator Dengan ini kedua belah pihak sepakat untuk mengikatkan diri dalam suatu perjanjian sewa menyewa alat berat sebanyak 1 satu unit alat hydraulic excavator hitachi zx110m tahun 2012 yang akan digunakan untuk pekerjaan percetakan tambak di lokasi pihak kedua dengan syarat syarat sebagai. Harga sewa alat berat diatas sudah neet tanpa pemotongan pajak dan kedua belah pihak setuju bahwa tarif sewa alat berat pada pasal I tidak akan berubah selama perjanjian belum berakhir.
Selanjutnya disebut PIHAK KEDUA Kedua belah pihak telah sepakat untuk mengadakan perjajian sewa alat berat dengan ketentuan dan syarat yang diatur dalam pasal-pasal dibawah ini. Surat perjanjian sewa menyewa alat berat nomor. SURAT PERJANJIAN SEWA RENTAL Kendaraan Alat Berat Hari ini Selasa tanggal 09-08-2019 sembilan belas Agustus dua ribu sembilan belas telah terjadi kesepakatan antara pihak-pihak berikut.
Pasal X Penutup Demikian surat perjanjian sewa pakai alat berat ini ditanda tangani oleh kedua belah pihak dalam rangkap 2 dua bermatrai cukup dan berkekuatan hukum yang sama dan di buat tanpa paksaan serta tekanan dari pihak manapun. 31 Implementasi Perjanjian Sewa Menyewa Alat Berat Tower Crane. Demikian surat perjanjian sewa pakai alat berat ini ditanda tangani oleh kedua belah pihak dalam rangkap2 dua bermatrai cukup dan berkekuatan hukum yang sama dan di buat tampa paksaan serta tekanan dari pihak manapun.
Pdf perjanjian sewa guna usaha leasing terhadap alat berat antara pt. Demikian surat perjanjian sewa pakai alat berat ini ditanda tangani oleh kedua belah pihak dalam rangkap2 dua bermatrai cukup dan berkekuatan hukum yang sama dan di buat tampa paksaan serta tekanan dari pihak manapun. Demikian surat perjanjian sewa Alat Berat ini ditanda tangani oleh kedua belah pihak dalam rangkap 2 dua bermatrai cukup dan berkekuatan hukum yang sama dan di buat tanpa paksaan serta tekanan dari pihak manapun.
Dalam surat perjanjian tersebut akan diatur tentang pembayaran pengantaran dan lain sebagainya. Bima Rizky Aditya NIK. Pihak kedua wajib menyediakan mess tempat penginapan yang layak bagi operator dan supir dan menyediakan makan yang cukup bagi operator atau supir.
Anda dapat melihat dengan jelas Perjanjian Sewa Alat Berat menggunakan Desktop anda Tablet Android atau iPhone dan perangkat Smartphone lainnya secara gratis. Surat perjanjian sewa menyewa alat berat nomor. Pihak Pertama Pihak Kedua H.
Contoh Surat Perjanjian Sewa Alat Berat DocContoh surat pernyataan penguasaan fisik. Contoh Surat Perjanjian Alat Berat Surat perjanjian jual beli alat berat pendidikan surat menyurat kumpulan karya tulis ilmiah surat perjanjian jual beli pada hari ini jum at tanggal 02 september 2016 telah diadakan perjanjian jual beli excavator yang dimana pih. 1 hari adalah kurun waktu selama 24 jam.
SPSMEXCA-1122014 Pada hari ini Selasa tanggal 02 Desember 2015 kami yang bertandatangan dibawah ini ya Slideshare uses cookies to improve functionality and performance and to provide you with relevant advertising. SPSMEXCA-1122014 Pada hari ini Selasa tanggal 02 Desember 2015 kami yang bertandatangan dibawah ini ya Slideshare uses cookies to improve functionality and performance and to provide you with relevant advertising. Harga sewa alat berat diatas sudah neet tanpa pemotongan pajak dan kedua belah pihak setuju bahwa tarif sewa alat pasal x penutup demikian surat perjanjian sewa pakai alat berat ini ditanda tangani oleh kedua belah pihak dalam.
Spsmexca 1122014 pada hari ini selasa tanggal 02 desember 2015 kami yang bertandatangan dibawah ini ya slideshare uses cookies to improve functionality and performance and to provide you with relevant advertising. Pasal I Jenis Spesifikasi Jumlah Harga Sewa dan Lokasi Kerja 1. Manager Produksi Pengadaan Infrastruktur Perusahaan.
Pasal 1338 Ayat 1 KUHPerdata yang menyatakan bahwa Semua perjanjian yang dibuat secara sah berlaku sebagai undang undang bagi yang membuatnya Dapat ditafsirkan bahwa setiap orang dapat membuat perjanjian dengan isi. Demikian surat perjanjian sewa pakai alat berat ini ditanda tangani oleh kedua belah pihak dalam rangkap 2 dua bermatrai cukup dan berkekuatan hukum yang sama dan di buat tanpa paksaan serta tekanan dari pihak manapun. Dengan adanya surat perjanjian diantara kedua belah pihak sudah tentu jika terjadi suatu penyimpangan sesuai perjanjian anda bisa membawanya ke.
Demikian surat perjanjian sewa pakai alat berat ini ditanda tangani oleh kedua belah pihak dalam rangkap 2 dua bermatrai cukup dan berkekuatan hukum yang sama dan di buat tanpa paksaan serta tekanan dari pihak manapun. Perjanjian Sewa Alat Berat adalah gambar Contoh Surat berdefinisi tinggi dan memiliki ukuran 1700x2200. SURAT PERJANJIAN SEWA PAKAI ALAT BERAT Pada Hari Rabu Tanggal 9 Januari 2013 yang bertanda tanggan di bawah ini.
Contoh surat perjanjian sewa alat berat. 1 bulan adalah lamanya hari yang didasarkan pada kalender resmi yang dikeluarkan atau ditetapkan oleh pemerintah. Download format word docx surat perjanjian sewa pakai alat berat lengkap dengan tipe harga sewa dll.
February 21 2018 at 302 am.
Surat Perjanjian Sewa Menyewa Alat Berat
Contoh Surat Jual Beli Alat Berat Kumpulan Contoh Surat Cute766
Download Video Surat Perjanjian Sewa Konter Youtube
![]()
Kontrak Surat Perjanjian Sewa Alat Aris Widanarko Academia Edu

Surat Keterangan Dukungan Alat
![]()
Contoh Surat Perjanjian Sewa Alat Berat Bagi Contoh Surat

Surat Perjanjian Sewa Menyewa Alat Berat 1
Surat Perjanjian Sewa Pakai Alat Berat